Matematyka

Całki, Sumy Riemanna #6


kategorie: matematyka

Witam Państwa,

Dużo rzeczy do zrobienia jeszcze, ale pojawiła się chwila wolnego czasu (już przeminęła, ale zacząłem, więc kontynuuję). Ostatni materiał (mniej teoretyczny), najbardziej obszerny w zadania (dużo robienia, mało zbędnego gadania). Zapraszam! Będzie:

  1. Całka z funkcji zdefiniowanej przedziałowo.
  2. Całka oznaczona z wartości bezwzględnej.
  3. Całkowanie przez podstawienie (przykłady różne).
  4. Całkowanie wyrażenia wymiernego po uproszczeniu metodą dzielenia wielomianów.
  5. Całkowanie wyrażeń prowadzące do arctg(x) oraz arcsin(x).
  6. Całkowanie przez części.
  7. Całkowanie za pomocą rozkładu na ułamki.
  8. Całki niewłaściwe.


Całka z funkcji zdefiniowanej przedziałowo

całki z funkcji zdefiniowanych przedziałowo

Całka oznaczona z wartości bezwzględnej

całki z funkcji z wartością bezwzględną

Całkowanie przez podstawienie (przykłady różne)

całkowanie przez podstawienie

Całkowanie wyrażenia wymiernego po uproszczeniu metodą dzielenia wielomianów

całkowanie po podzieleniu wielomianów

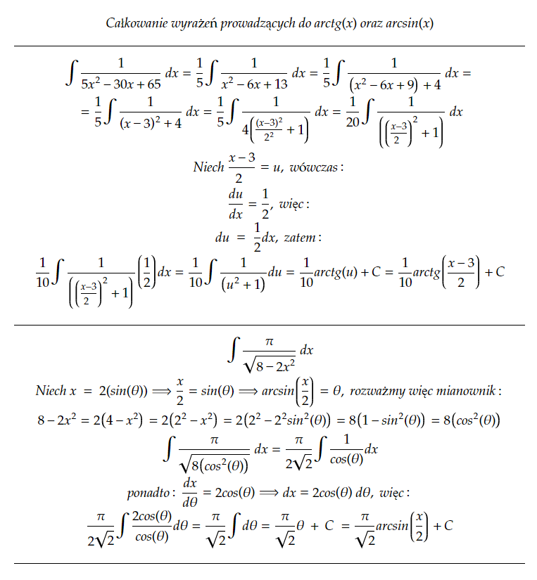
Całkowanie wyrażeń prowadzące do arctg(x) oraz arcsin(x)

całki prowadzące do arcsin i arctg

Całkowanie przez części

całkowanie przez części

Całkowanie za pomocą rozkładu na ułamki

całkowanie za pomocą rozkładu na ułamki

Całki niewłaściwe

całki niewłaściwe

PS. Kolejnego materiału juz nie będzie. (ten) Zawiera on wyłącznie zadania najbardziej istotne z punktu widzenia problemów postawionych na początku (podpukty). Jest to koniec kursu



Dziękuję :)


Koniec
Administrator

Ten post został napisany przez administratora

Ostatnie Posty

Zadania Dowodowe Matematyka Początek Całki, Kurs Matura IT Kurs | Algorytmy Matura IT Kurs | Bazy Danych Matura IT Kurs | Teoria Matura IT Kurs | Arkusz Kalkulacyjny

Archiwum

Rok 2022

Komentarze