Matematyka

Całki, Sumy Riemanna #1


kategorie: matematyka

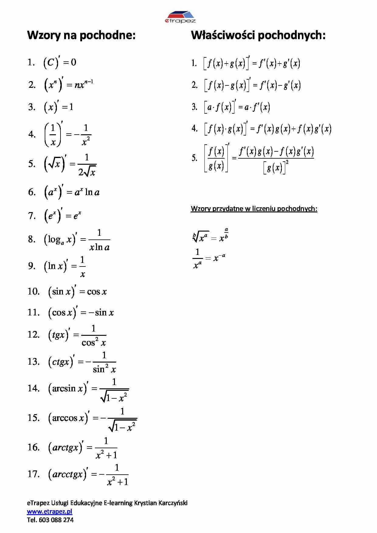
Witam Państwa, tak jak powiedziałem, tak też i robię, co prawda z lekkim spóźnieniem, ale zawsze 🙂 Niech zatem ten post będzie otwarciem, początkiem mojej opowieści o rachunku całkowym. Zacznijmy zatem od samego początku. Czego będziesz potrzebował? Umiejętności logicznego myślenia + wzorów na pochodne podstawowych wyrażeń (tj. pochodna iloczynu, ilorazu, etc...) Zamieszczę poniżej zresztą zdjęcie z karty wzorów, pokazujące co dokładnie mam na myśli 🙂. Zapamiętaj: Nagromadzenia danych -> Sumy Riemanna

wzory na pochodne

Przykład: Powiedzmy że chcesz obliczyć ile wody znajdzie się w zbiorniku który jest napełniany w stałym tempie 5 L / min przez 6 min. Oczywiście nie potrzebujesz do obliczenia czegoś takiego całek, wystarczy bowiem prosta logika: Objętość = Czas * Tempo => 5 * 6 = 30.

Teraz weź kartkę papieru i postaraj się ten przepadek narysować graficznie na wykresie 🙂 Jeżeli na osi Odciętych umieścisz czas, a na osi rzędnych tempo zmian to wówczas pole, które uzyskasz do x = 6 będzie stanowiło zarówno objętość jak i całkę oznaczoną od 0 do 6 z funkcji tempa zmian od czasu. Nie martw się jeżeli to teraz brzmi dla Ciebie skomplikowanie, zapewniam, że takie nie jest. Niedługo wrzucę jeszcze filmik, z którego będziesz się mógł dowiedzieć więcej 🙂

Dobrze, jeżeli jesteś zaciekawiony, idźmy dalej... Jeżeli teraz na twoim wykresie powiesz sobie: "chcę to moje pole pod wykresem podzielić na sumy pól pewnych prostokątów o dolnym boku (tym na osi czasu) równym $$\Delta x = 1$$ (oczywiście możesz tak zrobić)" otrzymasz całkę oznaczoną wyrażoną jako suma Riemanna. Nie jest to żadna aproksymacja (przybliżenie), bo wyznaczyłeś dokładne pole (tj. tyle ile rzeczywiście wody się wlało). Dobrze powiedzmy jednak, że tempo zmian nie jest liniowe. I co teraz? Całki oznaczonej na tym poziomie wtajemniczenia jeszcze z tego nie obliczysz, ale możesz skorzystać właśnie z APROKSYMACJI SUMAMI RIEMANNA. Na czym to polega już wspomniałem jednak wytłumaczę jeszcze raz. Bierzesz sobie przedział (w naszym wypadku na osi czasu) ustalasz \(\Delta x\) na tym przedziale (jeżeli przedział wynosi 6 i chcesz mieć 6 prostokątów przybliżających to pole to wówczas $$\Delta x = \frac{6}{6} = 1)$$, zatem $$\Delta x = 1$$. W zależności, czy chcesz obliczyć prawostronną sumę Riemanna, czy lewostronną (zaraz powiem o co chodzi) dobierasz do \(\Delta x\) odpowiadające im wysokości, sumujesz i masz aproksymację tego, ile wody wlało się przy nieliniowym tempie zmian. Jaka jest zatem różnica między lewostronną, a prawostronną sumą Riemanna? Wartościowo: minimalna (ale lepszej (prawostronna vs lewostronna) nie ma). Faktycznie: znacząca, bowiem przy liczeniu aproksymacji lewostronnej bierzesz wysokość, przy lewym rogu boku prostokąta i to ją liczysz jako $$WysokośćLewaProstokąta * \Delta x$$. Natomiast przy sumie prawostronnej obliczasz jedynie $$WysokośćPrawaProstokąta * \Delta x$$. Nie byłbym jednak sobą jakbym nie wspomniał o najtrudniejszej sumie Riemanna (wymagającej większej liczby obliczeń) jaką jest bez wątpienia sumą Riemanna środkowa. Na czym ona polega? Otóż $$\Delta x = const$$ , takie jak sobie wybrałeś, jednak co do zasady bierzesz teraz nie wysokość Lewo czy Prawo Stronną, lecz wysokość pośrodku naszego \(\Delta x\). Przykładowo masz $$\Delta x = 2$$, zatem twoja wysokość, przy założeniu, że tempo zmian wyraża funkcja f(t), będzie dana jako $$f(\frac{\Delta x}{2})$$ to tą procedurę podobnie jak w przypadku pozostałych prostokątów rozciągniesz na pozostałe prostokąty wyznaczające Twoje pole 🙂. A na końcu je zsumujesz 😉.

Widzisz zatem że w gruncie to co kryje się pod tym co nazywamy SUMAMI RIEMANNA to w gruncie nic ciężkiego. Zauważyłeś też pewnie, że mało powiedziałem o definicji całki. Słuszne spostrzeżenie 🙂 Otóż wolałem zostawić sobie to na koniec jako, że jest to dopiero wstęp. Całkę oznaczoną możemy zdefiniować jako ów SUMĘ RIEMANNA przy liczbie \(\Delta x\) dążącej do nieskończoności. Skoro zatem będzie nieskończenie wiele \(\Delta x\), będzie wskutek tego także więcej prostokątów co zapewni nam IDEALNE POLE naszego obszaru. Dziękuję za przeczytanie! W niedługim czasie ten artykuł pojawi się na YT, także zapraszam do śledzenia!


Czytaj dalej
Administrator

Ten post został napisany przez administratora

Ostatnie Posty

Zadania Dowodowe Matematyka Początek Całki, Kurs Matura IT Kurs | Algorytmy Matura IT Kurs | Bazy Danych Matura IT Kurs | Teoria Matura IT Kurs | Arkusz Kalkulacyjny

Archiwum

Rok 2022

Komentarze