Matematyka

Całki, Sumy Riemanna #5


kategorie: matematyka

Witam Państwa,

W dzisiejszym artykule poznamy technikę obliczania całki nieoznaczonej z \(\frac{1}{x}\), sin(x), cos(x) (+ inne funkcje) oraz \(e^x\). Zapraszam! Nie będę się już tutaj raczej rozwodził dla każdego przykładu, nad tym dlaczego akurat całka z danej funkcji jest zdefiniowana tak a nie inaczej, ponieważ metodę stojącą za poprawnym całkowaniem już poznałeś/aś. Całka z danej funkcji -> jaka funkcja po zróżniczkowaniu da mi funkcję podcałkową? Przejdźmy zatem do rzeczy.

CAŁKI Z FUNKCJI TRYGONOMETRYCZNYCH

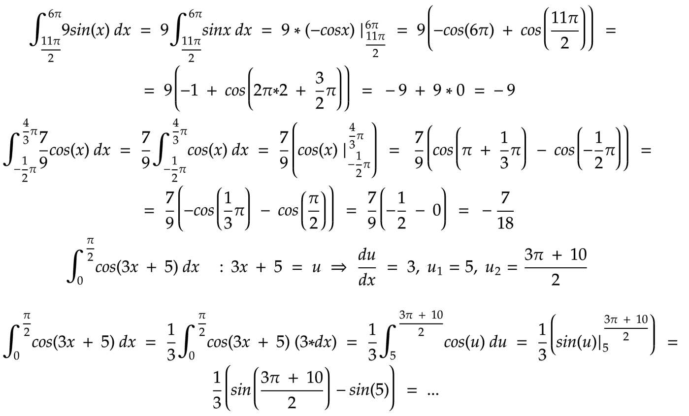
Całka nieoznaczona z funkcji: $$\int sin(x) dx = -cos(x) + C$$, gdzie C stanowi dowolnie dobraną stałą liczbową. Całka nieoznaczona z: $$\int cos(x) dx = sin(x) + C$$. Całka nieoznaczona z funkcji: $$\int sec^2(x) = tan(x) + C$$. Całka nieoznaczona z: $$\int csc^2(x) = -cot(x) + C$$. Całka nieoznaczona z: $$\int sec(x)tan(x) dx = sec(x) + C$$. Całka nieoznaczona z funkcji: $$\int csc(x)cot(x) dx = -csc(x) + C$$ Powyższe przykłady znajdziesz w zdjęciu pod tym materiałem 🙂

całki z funkcji trygonometrycznych

CAŁKA NIEOZNACZONA Z FUNKCJI E DO X

Teraz już krótka piłka. Całka nieoznaczona z funkcji: $$\int e^x$$ równa jest oczywiście $$e^x + C$$. Z czego jednak ten wzór się wywodzi? Z pewnością teraz w Twojej głowie pojawiła się myśl: "Ale o czym Ty w ogóle do mnie piszesz?! Przecież wystarczy spojrzeć do karty wzorów!" Istotnie! Jednak nie chcę byś tylko bez sensu zapamiętywał to co Ci podaję, ale też żebyś umiał/a to samemu sobie wyobrazić! Jak myślisz jaki będzie wynik scałkowania funkcji wykładniczej postaci a do potęgi x? Otóż jest to w istocie iloraz funkcji a do potęgi x oraz logarytmu naturalnego z a, tzn: $$\int a^x dx = \frac{a^x}{ln(a)}$$. Widzimy zatem, że jeżeli a = e to wówczas nasz mianownik będzie dawał w rezultacie wynik 1, co ostatecznie doprowadzi nas do wyniku znajdującego się liczniku postaci: \(e^x + C\). Nie martw się jeśli tego nie zrozumiałeś. Spróbuj wziąć sobie czystą kartkę papieru i rozpisać to o czym przed chwilką mówiłem 🙂 Na pewno wtedy zrozumiesz!

całki z funkcji wykładniczych

CAŁKA Z 1 / X

Ostatnią całką jaką się dzisiaj zajmiemy będzie całka z funkcji \(\frac{1}{x}\). W istocie wynikiem będzie tutaj ln|x| + C. Dowód tego faktu jest troszkę skomplikowany i na tym poziomie na jakim jesteśmy zupełnie niepotrzebny. Daję Ci tylko to co ułatwi Ci posługiwanie się całkami!

całki z funkcji trygonometrycznych

BONUS

Teraz jeszcze chciałbym Ci podarować pewien bonus! Nie jest to jednak dla Ciebie obowiązkowe, gdyż nie będziemy robić z tego przykładów (z faktu iż jest to po prostu bardzo czasochłonne). Jednak mimo to zachęcam Cię do zrobienia parę przykładów które z tego się pojawią w jednym z następnych materiałów (Oczywiście to nie będzie tak, że dam Ci całki i na żywioł będziesz je próbował rozwiązywać! Oczywiście że nie! Byłoby to bardzo nierozsądne z mojej strony 🙂 Umówmy się tak: rozwiąże po 3 przykłady z każdego tematu jaki przedstawiam (i będzie to najcięższe jakie spotkasz), a później Ty (jeśli tylko będziesz miał ochotę, bo też nic na siłę) rozwiążesz według możliwości 2 kolejne przykłady! Nie martw się będą naprawdę proste! Ale to dopiero za jakieś 2 artykuły. Muszę Ci jeszcze parę rzeczy pokazać!) A zatem bonus: $$\int \frac{1}{\sqrt{a^2 - x^2}} dx = arcsin(\frac{x}{a}) + C$$ $$\int \frac{1}{a^2 + x^2} dx = \frac{1}{a} * arctan(\frac{x}{a}) + C$$ Jak widzisz nie są to łatwe wzory i zapewniam -> nie są one także łatwe w użytkowaniu i wymagają treningu! Dziękuję za przeczytanie!

całki z funkcji bonusowych

Pozdro 🙂


Czytaj dalej
Administrator

Ten post został napisany przez administratora

Ostatnie Posty

Zadania Dowodowe Matematyka Początek Całki, Kurs Matura IT Kurs | Algorytmy Matura IT Kurs | Bazy Danych Matura IT Kurs | Teoria Matura IT Kurs | Arkusz Kalkulacyjny

Archiwum

Rok 2022

Komentarze